您可能也喜欢

    新一代银屑病药物:靶向以IL-17为代表的炎性细胞因子通路

    新一代银屑病药物:靶向以IL-17为代表的炎性细胞因子通路

    November 01, 2022
    Share on:

    银屑病(Psoriasis)是一种慢性复发性炎症性皮肤病,最常见的症状是红色发炎的皮疹或红斑,通常覆有银色鳞屑,严重影响患者的生活质量。在中国,银屑病的估计患病率为0.47%,影响超过700万患者;全球来看,至少有1.25亿人受此疾病困扰。银屑病可分为斑块型(最常见类型,占80-90%)、点滴型、脓疱型(局限性、泛发性-GPP,罕见且严重)、银屑病性关节炎等类型。自2004年起,每年的10月29日为世界银屑病日。

    银屑病是一种由多种致病因子(遗传、环境因素等)刺激引起的T细胞介导的针对皮肤的自身免疫病,不具有传染性。机制上,以往认为Th1通路是银屑病发病的主要原因,代表性细胞因子有TNFα、IL-12、IL-23。第一代治疗银屑病的生物制剂围绕TNFα展开,相继上市了融合蛋白、单抗等多个药物,目前仍占据着银屑病市场的主要份额。然而,TNFα抑制剂使用过程中常常会出现严重的不良反应,并且有40%的患者治疗效果不佳,再伴随着一系列生物类似药的上市,导致TNFα抑制剂面临困境和巨大的内部竞争。

    后来人们认识到Th17是银屑病发病的关键驱动因素。IL-17/IL-23是致病的主要因素。IL-17由Th17细胞分泌,促进其他细胞因子传递,并直接促进活化的角质细胞产生更多趋化因子。由于IL-17与银屑病发病的关联最为直接,所以抑制IL-17的药物以起效快著称。IL-23位于Th17细胞的上游,靶向IL-23的药物以其长效性闻名,但并不能完全抑制IL-17,因为除了Th17细胞外,还有其他细胞有可能产生IL-17。

    图1. 多种细胞因子在银屑病发病机制中的作用及其上下游关系[1]


    图2. 靶向IL-23/IL-17通路的银屑病药物[2]


    主要银屑病上市药物

    整理自科睿维安数据库


    这些上市药物中,不乏销售额亮眼的药物。其中,Ustekinumab单抗是第一款靶向IL-23的上市药,在获批银屑病后不断扩大适应症范围,销售额2019年已经达到66亿美元,全球排名第12,增速非常快。Secukinumab是第一款靶向IL-17的药物,全球销售额从2017年的21亿美元增长至2020年的40亿美元。同为IL-17抑制剂,礼来的ixekizumab在2020年的销售额亦增长至18亿美元。

    目前,针对这些细胞因子,国内已有多款产品上市或在临床试验阶段,代表公司有恒瑞、智翔金泰、丽珠/康鑫合生、康方生物、君实生物、三生国健、荃信生物、海正药业等。

    为了更好的帮助药企和生物技术公司研发银屑病药物,百奥动物研发了多种炎性细胞因子相关的人源化小鼠模型,用于候选药物的临床前体内药效检测。


    B-hIL17A mice

    品系名称:C57BL/6-Il17atm1(IL17A)/Bcgen

    常用名:B-hIL17A mice

    背景:C57BL/6

    货号:110053

    靶点别名:IL17A, CTLA-8, CTLA8, IL-17, IL-17A, IL17, ILA17, interleukin 17A


    1.    IL17A蛋白的种属特异性表达

    用ELISA方法检测野生型小鼠 (+/+)和纯合B-hIL17A小鼠(H/H)中的IL17A表达情况。结果显示小鼠IL-17A蛋白仅在野生型小鼠 (+/+)中表达,而人IL-17A蛋白仅在纯合B-hIL17A小鼠(H/H)中表达。


    2.    B-hIL17A银屑病模型可用于抗人IL-17A抗体的体内药效评估              


    Ixekizumab在B-hIL17A 的IMQ银屑病模型里呈现剂量依赖的药效。10周龄B-hIL17A小鼠(H/H)去毛后,连续8天在后背皮肤上涂抹Imiquimod (IMQ)。同时,每组小鼠(雌性,10周龄,n=5)接受对照或不同剂量的ixekizumab(自制,低剂量为3mg/kg,高剂量为10mg/kg)治疗,每天记录小鼠的体重和皮肤炎症评分。并于实验终点(endpoint)收集皮肤进行分析。


    (A)药物治疗6天时,小鼠背部皮肤表型;(B)给药期间的小鼠体重变化;(C-E)背部皮肤的红疹评分、鳞屑评分以及综合评分。结果显示,ixekizumab可以减轻小鼠银屑病模型的临床表型。数值为平均值 ± SEM。


    对实验终点收集的皮肤进行苏木精-伊红染色(H&E),分析。(A)背部皮肤的H&E染色结果示意图;(B)背部皮肤病理评分;(C)小鼠表皮厚度。结果显示,ixekizumab可以减少角质细胞扩增和炎性细胞的浸润,缓解小鼠银屑病模型的皮肤炎症。数值为平均值 ± SEM。


    Secukinumab在B-hIL17A的IMQ银屑病模型里呈现剂量依赖的药效。B-hIL17A小鼠(H/H)去毛后,连续5天在后背皮肤上涂抹IMQ。同时,每组小鼠(雌性,8周龄,n=6)接受对照或不同剂量的secukinumab(商业化药品,低剂量为10mg/kg,高剂量为30mg/kg)治疗,每天记录小鼠的体重和皮肤炎症评分。并于实验终点收集皮肤进行分析。(A)银屑病造模(B)第0天和5天时,小鼠背部皮肤表型;(C)给药期间的小鼠体重变化;(D-F)背部皮肤的红疹评分、鳞屑评分以及综合评分。结果显示,secukinumab可以减轻小鼠银屑病模型的临床表型。数值为平均值 ± SEM。


    对实验终点收集的皮肤进行苏木精-伊红染色(H&E),分析。(A)背部皮肤的H&E染色结果示意图;(B)背部皮肤病理评分;(C)小鼠表皮厚度。结果显示,secukinumab可以减少角质细胞扩增和炎性细胞的浸润,缓解小鼠银屑病模型的皮肤炎症。数值为平均值 ± SEM。


    B-hIL17A/hIL17F mice

    品系名称:C57BL/6-Il17atm1(IL17A) Il17ftm1(IL17F)/Bcgen

    常用名:B-hIL17A/hIL17F mice

    背景:C57BL/6

    货号:120554

    靶点别名:IL17A, interleukin 17A, CTLA-8, CTLA8, IL-17, IL-17A, IL17, ILA17; IL17F, interleukin 17F, CANDF6, IL-17F, ML-1, ML1


    1.     IL17A和IL17F蛋白的种属特异性表达

    用ELISA方法检测野生型小鼠 (+/+)和纯合B-hIL17A/hIL17F小鼠(H/H)中IL17A和IL17F的表达情况,结果显示小鼠IL17A和IL17F蛋白仅在野生型小鼠 (+/+)中表达,而人IL-17A和IL17F蛋白仅在纯合B-hIL17A/hIL17F小鼠 (H/H)中表达。


    2.    B-hIL17A/hIL17F银屑病模型可用于抗人IL-17A/IL-17F抗体的体内药效评估

    Bimekizumab在B-hIL17A/hIL17F 的IMQ银屑病模型里呈现剂量依赖的药效。B-hIL17A小鼠(H/H)去毛后,连续8天在后背皮肤上涂抹IMQ。同时,每组小鼠(雌性,10周龄,n=5)接受对照或不同剂量的bimekizumab(自制,低剂量1mg/kg,高剂量3mg/kg)治疗,每天记录小鼠的体重和皮肤炎症评分。并于实验终点收集皮肤进行分析。


    (A)6天治疗结束后,小鼠背部皮肤表型;(B)给药期间的小鼠体重变化;(C-E)背部皮肤的红疹评分、鳞屑评分以及综合评分。结果显示,bimekizumab可以减轻小鼠银屑病模型的临床表型。数值为平均值 ± SEM。


    对实验终点收集的皮肤进行苏木精-伊红染色(H&E),分析。(A)背部皮肤的H&E染色结果示意图;(B)背部皮肤病理评分;(C)小鼠表皮厚度。结果显示,bimekizumab可以减少角质细胞扩增和炎性细胞的浸润,缓解小鼠银屑病模型的皮肤炎症。数值为平均值 ± SEM。



    B-hIL17RA mice

    品系名称:C57BL/6-Il17ratm1(IL17RA)/Bcgen

    常用名:B-hIL17RA mice

    背景:C57BL/6

    货号:110054

    靶点别名:IL17RA, CANDF5, CD217, CDw217, IL-17RA, IL17R, IMD51, hIL-17R, interleukin 17 receptor A


    1.     IL17RA蛋白的种属特异性表达

    取野生型小鼠 (+/+)和杂合B-hIL17RA小鼠(H/+)的骨髓,用流式方法检测IL17RA的表达。结果显示小鼠IL17RA在野生型小鼠 (+/+)和杂合B-hIL17RA小鼠(H/+)中表达;而人IL17RA仅在杂合B-hIL17RA小鼠(H/+)中表达。



    B-hTNFA mice

    品系名称:C57BL/6-Tnftm1(TNF)/Bcgen

    常用名:B-hTNFA mice

    背景:C57BL/6

    货号:110002

    靶点别名:TNF (tumor necrosis factor, TNFA)


    1.    TNFα蛋白的种属特异性表达

    用ELISA方法检测野生型小鼠 (+/+)和纯合B-hTNFA小鼠(H/H)中的TNFα表达情况。结果显示小鼠TNFα蛋白仅在野生型小鼠 (+/+)中表达,而人TNFα蛋白仅在纯合B-hTNFA小鼠(H/H)中表达。


    B-hTNFA/hIL17A mice

    品系名称:C57BL/6-Tnftm1(TNF)Il17atm1(IL17A)/Bcgen

    常用名:B-hTNFA/hIL17A mice

    背景:C57BL/6

    货号:120548

    靶点别名:TNF (tumor necrosis factor, TNFA); IL17A (interleukin 17A)


    1.     TNFα和IL17A蛋白的种属特异性表达

    用ELISA方法检测野生型小鼠(+/+)和纯合B-hTNFA/hIL17F小鼠(H/H)中TNFA和IL17A的表达情况,结果显示小鼠的TNFA和IL17A蛋白仅在野生型小鼠(+/+)中表达,而人TNFA和IL17A仅在纯合B-hTNFA/hIL17A小鼠 (H/H)中表达。


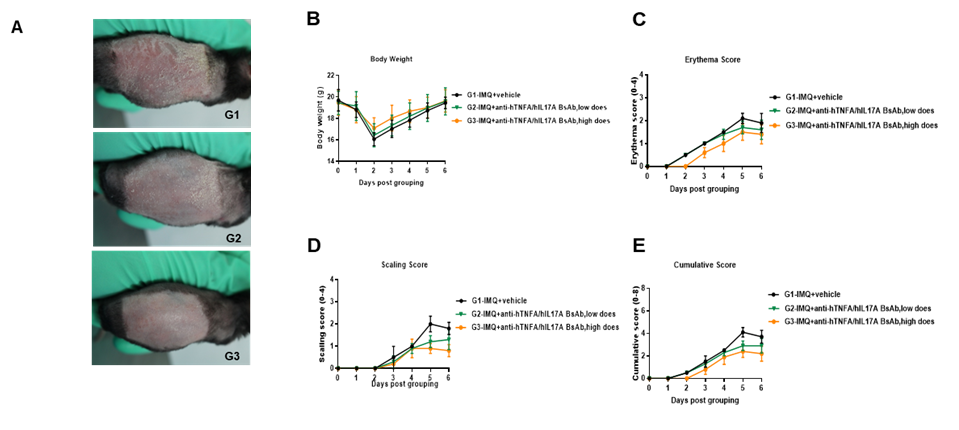
    2.    B-hTNFA/hIL17A银屑病模型可用于抗人TNFα x IL17A双抗的体内药效评估

    TNFα x IL17A双抗在B-hTNFA/hIL17A小鼠的IMQ银屑病模型里呈现剂量依赖的药效。B-hTNFA/hIL17A小鼠(H/H)去毛后,连续6天在后背皮肤上涂抹IMQ。同时,每组(雌性,10周龄,n=5)小鼠接受对照或不同剂量的TNFα x IL17A双抗(自制)治疗,每天记录小鼠的体重和皮肤炎症评分。并于实验终点收集皮肤进行分析。


    (A)6天治疗结束后,小鼠背部皮肤表型;(B)给药期间的小鼠体重变化;(C-E)背部皮肤的红疹评分、鳞屑评分以及综合评分。结果显示,TNFα x IL17A双抗可以减轻小鼠银屑病模型的临床表型。数值为平均值 ± SEM。


    对实验终点收集的皮肤进行苏木精-伊红染色(H&E),分析。(A)背部皮肤的H&E染色结果示意图;(B)背部皮肤病理评分;(C)小鼠表皮厚度。结果显示,TNFα x IL17A双抗可以减少角质细胞扩增和炎性细胞的浸润,缓解小鼠银屑病模型的皮肤炎症。数值为平均值 ± SEM。


    B-hIL23A/hIL12B mice

    品系名称:C57BL/6-Il23atm1(IL23A)Il12btm1(IL12B)/Bcgen

    常用名:B-hIL23A/hIL12B mice

    背景:C57BL/6

    货号:120553

    靶点别名:IL23A (interleukin 23 subunit alpha), IL12B (interleukin 12B)


    1.    IL23蛋白的种属特异性表达

    用ELISA方法检测野生型小鼠(+/+)和纯合B-hIL23A/hIL12B小鼠(H/H)中IL23A的表达情况,结果显示小鼠IL23A仅在野生型小鼠WT (+/+)中表达,而人IL-23仅在纯合B-hIL23A/hIL12B 小鼠(H/H)中表达。


    2.    B-hIL23A/hIL12B银屑病模型可用于抗人IL-23A抗体的体内药效评估

    IL23A单抗在B-hIL23A/hIL12B小鼠的IMQ银屑病模型里呈现剂量依赖的药效。B-hIL23A/hIL12B小鼠(H/H)去毛后,连续6天在后背皮肤上涂抹IMQ。同时,每组小鼠接受对照或不同剂量的IL-23A单抗治疗,每天记录小鼠的体重和皮肤炎症评分。



    (A)给药期间的小鼠体重变化;(B-D)背部皮肤的红疹评分、鳞屑评分以及综合评分。结果显示,IL-23A单抗可以减轻小鼠银屑病模型的临床表型。数值为平均值 ± SEM。



    B-hIL36R mice

    品系名称:C57BL/6-Il1rl2tm1(IL1RL2)/Bcgen

    常用名:B-hIL36R mice

    背景:C57BL/6

    货号:110084

    靶点别名:IL1RL2, IL-1Rrp2, IL-36R, IL1R-rp2, IL1RRP2, interleukin 1 receptor like 2


    1.    IL36R蛋白表达的免疫组化分析

    在野生型小鼠 (+/+)和纯合B-hIL36R小鼠(H/H)建立银屑病模型后,取小鼠背部皮肤和小肠,用免疫组化方法分析IL36R的表达。由于IL36R抗体是人鼠交叉识别,所以在野生型小鼠 (+/+)和纯合B-hIL36R小鼠 (H/H)中均可以检测到IL36R的表达。箭头所指为阳性染色细胞。


    2.    B-hIL36R小鼠银屑病模型可用于抗人IL-36R抗体的体内药效评估

    Spesolimab在B-hIL36R小鼠的IMQ银屑病模型里呈现剂量依赖的药效。B-hIL36R小鼠(H/H)去毛后,连续6天在后背皮肤上涂抹IMQ。同时,每组小鼠(雌性,9周龄,n=6)接受对照或不同剂量的spesolimab(商业化药品,自制,低剂量为1mg/kg,中剂量:3mg/kg,高剂量为10mg/kg)治疗,每天记录小鼠的体重和皮肤炎症评分。并于实验终点收集皮肤进行分析。(A)银屑病造模(B)第0天和6天时,小鼠背部皮肤表型;(C)给药期间的小鼠体重变化;(D-F)背部皮肤的红疹评分、鳞屑评分以及综合评分。结果显示,spesolimab可以减轻小鼠银屑病模型的临床表型。数值为平均值 ± SEM。


    对实验终点收集的皮肤进行苏木精-伊红染色(H&E),分析。(A)背部皮肤的H&E染色结果示意图;(B)背部皮肤病理评分;(C)小鼠表皮厚度。结果显示,spesolimab可以减少角质细胞扩增和炎性细胞的浸润,缓解小鼠银屑病模型的皮肤炎症。数值为平均值 ± SEM。


    百奥动物银屑病相关人源化小鼠模型总结


    除以上产品鼠外,还有B-hIL22/hIL22RA人源化小鼠正在开发中。


    参考资料

    1. 银屑病靶点IL-17A,智翔金泰自免单抗再批临床,bioSeedin柏思荟

    2. Tsukazaki H, Kaito T. The Role of the IL-23/IL-17 Pathway in the Pathogenesis of Spondyloarthritis. International Journal of Molecular Sciences. 2020; 21(17):6401.

    3. Uppala, Ranjitha et al. "Autoinflammatory psoriasis"-genetics and biology of pustular psoriasis.” Cellular & molecular immunology vol. 18,2 (2021): 307-317.